Асимптотические методы в теории уравнений с частными производными : Сборник статей
1828
Краткое содержание:
Экранизация книги

Асимптотические методы в теории уравнений с частными производными : Сборник статей

Год:
1974
Язык:
Русский
Страниц:
165
Заглавие серии:
Министерство высшего и среднего специального образования РСФСР. Московский институт электронного машиностроения. Труды ВИЭМ / Кафедра прикл. математики ; Вып. 38
Описание:
Асимптотические методы в теории уравнений с частными производными : [Сборник статей] / Под ред. проф. В.П. Маслова и доц. Б.Ю. Стернина. - Москва : Б. и., 1974. - 165 с. : граф. ; 21 см. - (Министерство высшего и среднего специального образования РСФСР. Московский институт электронного машиностроения. Труды ВИЭМ / Кафедра прикл. математики ; Вып. 38). - Списки лит. в конце статей
Рейтинг по отзывам:
4.5
Рубрики:
Дифференциальные уравнения с частными производными → Решение → Асимптотические методы → Сборники
Примечания:
Списки лит. в конце статей
Другие ответственные лица:
Маслов, Виктор Павлович → Редактор; Стернин, Б.Ю. → Редактор
Дата создания:
2020-01-28 14:13:56
Соц. сети:
С.И. Похожаев. Теория разрушений (катастроф) решений нелинейных уравнений в частных производных
26.02.2009 16:00 Общеинститутский семинар «Математика и ее приложения» Математического института им. В.А. Стеклова РАН: С.И. Похожаев, ...
МЦМУ МИАН
Помогите сайту стать лучше, ответьте на несколько вопросов про книгу:
Асимптотические методы в теории уравнений с частными производными : Сборник статей
Выберите раздел логики.
Неформальная
Формальная
Символическая
Диалектическая
Не знаю

Мойка листов, чистка, отбеливание, устранение заломов, восстановление разрывов, следов от влаги, травление насекомых, реставрация обложки и корешка, устранение укусов от собак и восстановление заломов на картоне, восстановление после падений, восстановление тиснения и рисунков, художественная покраска всех элементов обложки от мастеров Ленинской библиотеки. Мелкий ремонт (удаление пятен, плесени) или реставрацию обложки, уголков, корешка, листов, переплета книги

Показать контакты
Объявление о покупке (разыскивается книга)
Объявление о продаже
Принимаются только объявления о покупке книги.
Внимание, объявления модерируются администрацией.
Принимаются только объявление о продаже книги.
Внимание, объявления модерируются администрацией.
Бутузов В. Ф. - Основы сингулярной теории возмущений - Асимптотические ряды
00:37:30 1. Асимптотические приближения 00:50:28 2. Асимптотические ряды.
teach-in
2. Основные направления теории дифференциальных уравнений
Обсуждаются основные направления теории дифференциальных уравнений - точные, приближенные и качественные методы, теория устойчивости, ...
Дмитрий Лосев
Ю.В. Нестеренко. Эффективные методы в теории диофантовых уравнений
21.04.2011 16:00 Общеинститутский семинар «Математика и ее приложения» Математического института им. В.А. Стеклова РАН: Ю.В. Нестеренко, ...
МЦМУ МИАН
Название и адрес
Режим работы
Телефон
Центральна бібліотека ім. І.Я. Франка, ФОП Шуманський К. С.
Харьковская область, Харьков, Новобаварский район
Кибальчича, 37
Расположение на карте
санитарный день: последний день месяца
Пн: 10:00-18:00
Ср: 10:00-18:00
Чт: 10:00-18:00
Пт: 10:00-18:00
Вс: 10:00-18:00
 +380 (57) 712-46-33 +380 (57) 777-98-20
Показать номер
Название и адрес
Режим работы
Телефон
Централизованная библиотечная система
Алматы, Алматы, Медеуский район
Татарская, 32
Расположение на карте
санитарный день: последний чт месяца
Пн: 09:00-18:00
Вт: 09:00-18:00
Ср: 09:00-18:00
Чт: 09:00-18:00
Пт: 09:00-18:00
Сб: 10:00-18:00
 +7 (727) 399-22-68
Показать номер
Название и адрес
Режим работы
Телефон
Центральная библиотека №15 им. В.О. Ключевского
Москва, Москва, Таганский район
Новорогожская, 5
Расположение на карте
санитарный день: последний вт месяца
Вт: 10:00-21:00
Ср: 10:00-21:00
Чт: 10:00-21:00
Пт: 10:00-21:00
Сб: 10:00-21:00
Вс: 10:00-20:00
 +7 (495) 678-04-01
Показать номер
Название и адрес
Режим работы
Телефон
Детская библиотека
Свердловская область, Дегтярск городской округ, Дегтярск
Литвинова, 7
Расположение на карте
Пн: 09:00-13:00 14:00-18:00
Вт: 09:00-13:00 14:00-18:00
Ср: 09:00-13:00 14:00-18:00
Чт: 09:00-13:00 14:00-18:00
Пт: 09:00-13:00 14:00-18:00
Вс: 10:00-13:00 14:00-16:00
 +7 (34397) 6-37-46
Показать номер
Название и адрес
Режим работы
Телефон
Библиотечно-сервисный центр №13
Самарская область, Тольятти городской округ, Тольятти, Комсомольский район
Лизы Чайкиной, 71а
Расположение на карте
зимний период: пн-пт 9:00-17:00; вс 11:00-18:00
Пн: 09:00-19:00
Вт: 09:00-19:00
Ср: 09:00-19:00
Чт: 09:00-19:00
Пт: 09:00-19:00
 +7 (8482) 24-25-60 +7 (8482) 24-24-79
Показать номер
Название и адрес
Режим работы
Телефон
Библиотека, г. Вилючинск
Камчатский край, ЗАТО Вилючинск городской округ, Вилючинск, Приморский пос.
Приморская, 6
Расположение на карте
зимний период: пн-чт 11:00-19:00; сб-вс 10:00-18:00; пт выходной
Вт: 10:00-18:00
Ср: 10:00-18:00
Чт: 10:00-18:00
Пт: 10:00-18:00
Сб: 10:00-18:00
Название и адрес
Режим работы
Телефон
Библиотека №45
Республика Башкортостан, Уфа городской округ, Уфа, Калининский район, Черниковка
Сергея Вострецова, 10
Расположение на карте
санитарный день: последняя пт месяца
Вт: 11:00-15:00 16:00-20:00
Ср: 11:00-15:00 16:00-20:00
Чт: 11:00-15:00 16:00-20:00
Пт: 11:00-15:00 16:00-20:00
Сб: 11:00-15:00 16:00-20:00
 +7 (347) 216-48-95
Показать номер
Название и адрес
Режим работы
Телефон
Библиотека Роста и Карьеры, г. Санкт-Петербург
Санкт-Петербург, Санкт-Петербург, Московский район, МО №44 "Московская застава"
Московский проспект, 150
Расположение на карте
сентябрь-май: пн-пт 10:00-22:00
Пн: 10:00-22:00
Вт: 10:00-22:00
Ср: 10:00-22:00
Чт: 10:00-22:00
Пт: 10:00-22:00
 +7 (812) 242-35-59
Показать номер
Название и адрес
Режим работы
Телефон
Библиотека, ст. Высокая Гора
Республика Татарстан, Высокогорский район, пос. ж/д ст. Высокая Гора
Чернышевского, 5
Расположение на карте
сентябрь-май - пн-пт 8:00-17:00; вс 8:00-18:00; санитарный день: последний чт месяца
Пн: 08:00-17:00
Вт: 08:00-17:00
Ср: 08:00-17:00
Чт: 08:00-17:00
Пт: 08:00-17:00
 +7 (84365) 2-38-75 +7 (84365) 2-38-74
Показать номер
Название и адрес
Режим работы
Телефон
Городская библиотека №1, г. Волжск
Республика Марий Эл, Волжск городской округ, Волжск
Советская, 29
Расположение на карте
санитарный день: последний день месяца; зимний период: пн-пт 10:00-18:00, перерыв: 13:00-14:00; вс 9:00-16:00
Пн: 10:00-18:00
Вт: 10:00-18:00
Ср: 10:00-18:00
Чт: 10:00-18:00
Пт: 10:00-18:00
 +7 (83631) 4-79-68
Показать номер
24.5. Асимптотическое разложение при больших значениях аргумента
Поскольку ряд в окрестности иррегулярной особой точки обычно является расходящимся, такой подход естественно применять для получения ...
Дмитрий Лосев Бутузов В. Ф. - Математический анализ - Условный экстремум (Лекция 11)
1. Зависимость функций 2. Условный экстремум.
teach-in Б.А. Дубровин. Пертурбативный анализ интегрируемых гамильтоновых уравнений в частных производных
И. М. Гельфанд и современная математика Б.А. Дубровин. Пертурбативный анализ интегрируемых гамильтоновых уравнений в частных производных ...
МЦМУ МИАН Пятаков А. П. - Теория колебаний - Лекция 8
Метод медленно меняющихся амплитуд 0:00:10 1. Демонстрация. Маятник Капицы 0:02:10 2. Одноконтурный параметрический усилитель 0:27:30 3.
teach-in
Егор Петров
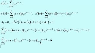
Асимптотические методы в теории уравнений с частными производными : Сборник статей. В книге описывается принцип действия асимптотического метода, названного «методом Кондиайна», включающего вычисления с целью проверки существования асимптотических точек кривой
Прикрепить файл
Похожие книги
Название и адрес
Режим работы
Телефон
Центральна бібліотека ім. І.Я. Франка, ФОП Шуманський К. С.
Харьковская область, Харьков, Новобаварский район
Кибальчича, 37
Расположение на карте
санитарный день: последний день месяца
Пн: 10:00-18:00
Ср: 10:00-18:00
Чт: 10:00-18:00
Пт: 10:00-18:00
Вс: 10:00-18:00
 +380 (57) 712-46-33 +380 (57) 777-98-20
Показать номер
Название и адрес
Режим работы
Телефон
Централизованная библиотечная система
Алматы, Алматы, Медеуский район
Татарская, 32
Расположение на карте
санитарный день: последний чт месяца
Пн: 09:00-18:00
Вт: 09:00-18:00
Ср: 09:00-18:00
Чт: 09:00-18:00
Пт: 09:00-18:00
Сб: 10:00-18:00
 +7 (727) 399-22-68
Показать номер
Название и адрес
Режим работы
Телефон
Центральная библиотека №15 им. В.О. Ключевского
Москва, Москва, Таганский район
Новорогожская, 5
Расположение на карте
санитарный день: последний вт месяца
Вт: 10:00-21:00
Ср: 10:00-21:00
Чт: 10:00-21:00
Пт: 10:00-21:00
Сб: 10:00-21:00
Вс: 10:00-20:00
 +7 (495) 678-04-01
Показать номер
Название и адрес
Режим работы
Телефон
Детская библиотека
Свердловская область, Дегтярск городской округ, Дегтярск
Литвинова, 7
Расположение на карте
Пн: 09:00-13:00 14:00-18:00
Вт: 09:00-13:00 14:00-18:00
Ср: 09:00-13:00 14:00-18:00
Чт: 09:00-13:00 14:00-18:00
Пт: 09:00-13:00 14:00-18:00
Вс: 10:00-13:00 14:00-16:00
 +7 (34397) 6-37-46
Показать номер
Название и адрес
Режим работы
Телефон
Библиотечно-сервисный центр №13
Самарская область, Тольятти городской округ, Тольятти, Комсомольский район
Лизы Чайкиной, 71а
Расположение на карте
зимний период: пн-пт 9:00-17:00; вс 11:00-18:00
Пн: 09:00-19:00
Вт: 09:00-19:00
Ср: 09:00-19:00
Чт: 09:00-19:00
Пт: 09:00-19:00
 +7 (8482) 24-25-60 +7 (8482) 24-24-79
Показать номер
Название и адрес
Режим работы
Телефон
Библиотека, г. Вилючинск
Камчатский край, ЗАТО Вилючинск городской округ, Вилючинск, Приморский пос.
Приморская, 6
Расположение на карте
зимний период: пн-чт 11:00-19:00; сб-вс 10:00-18:00; пт выходной
Вт: 10:00-18:00
Ср: 10:00-18:00
Чт: 10:00-18:00
Пт: 10:00-18:00
Сб: 10:00-18:00
Название и адрес
Режим работы
Телефон
Библиотека №45
Республика Башкортостан, Уфа городской округ, Уфа, Калининский район, Черниковка
Сергея Вострецова, 10
Расположение на карте
санитарный день: последняя пт месяца
Вт: 11:00-15:00 16:00-20:00
Ср: 11:00-15:00 16:00-20:00
Чт: 11:00-15:00 16:00-20:00
Пт: 11:00-15:00 16:00-20:00
Сб: 11:00-15:00 16:00-20:00
 +7 (347) 216-48-95
Показать номер
Название и адрес
Режим работы
Телефон
Библиотека Роста и Карьеры, г. Санкт-Петербург
Санкт-Петербург, Санкт-Петербург, Московский район, МО №44 "Московская застава"
Московский проспект, 150
Расположение на карте
сентябрь-май: пн-пт 10:00-22:00
Пн: 10:00-22:00
Вт: 10:00-22:00
Ср: 10:00-22:00
Чт: 10:00-22:00
Пт: 10:00-22:00
 +7 (812) 242-35-59
Показать номер
Название и адрес
Режим работы
Телефон
Библиотека, ст. Высокая Гора
Республика Татарстан, Высокогорский район, пос. ж/д ст. Высокая Гора
Чернышевского, 5
Расположение на карте
сентябрь-май - пн-пт 8:00-17:00; вс 8:00-18:00; санитарный день: последний чт месяца
Пн: 08:00-17:00
Вт: 08:00-17:00
Ср: 08:00-17:00
Чт: 08:00-17:00
Пт: 08:00-17:00
 +7 (84365) 2-38-75 +7 (84365) 2-38-74
Показать номер
Название и адрес
Режим работы
Телефон
Городская библиотека №1, г. Волжск
Республика Марий Эл, Волжск городской округ, Волжск
Советская, 29
Расположение на карте
санитарный день: последний день месяца; зимний период: пн-пт 10:00-18:00, перерыв: 13:00-14:00; вс 9:00-16:00
Пн: 10:00-18:00
Вт: 10:00-18:00
Ср: 10:00-18:00
Чт: 10:00-18:00
Пт: 10:00-18:00
 +7 (83631) 4-79-68
Показать номер
Азат Нагирян
Асимптотические методы в теории уравнений с частными производными : Сборник статей. В книге описывается ряд математических идей и методов, используемых при решении задач из различных разделов теории уравнений с част. пр. (уравнений в частных производных дробного порядка, уравнений в частных производный интегродифференциального типа и др.). В отдельных статьях излагаются некоторые идеи и методы, относящиеся к теории асимптотических разложений и к теории нелинейных уравнений. Книга предназначается для математиков разных специальностей, а также для аспирантов и студентов старших курсов.
Прикрепить файл