Задачи по статике твердого тела (с решениями : A. Fuhrmann. Aufgaben aus analytischen Mechanik. Th. I. 3-e Aufl. von B. Teubner. Leipzig, 1904)
2131
Краткое содержание:
Экранизация книги

Задачи по статике твердого тела (с решениями : A. Fuhrmann. Aufgaben aus analytischen Mechanik. Th. I. 3-e Aufl. von B. Teubner. Leipzig, 1904)

Автор:
Фурман Арвид
Год:
1905
Язык:
Русский
Страниц:
170
Описание:
Фурман А. Задачи по статике твердого тела (с решениями : A. Fuhrmann. Aufgaben aus analytischen Mechanik. Th. I. 3-e Aufl. von B. Teubner. Leipzig, 1904) / Арв. Фурман, проф. Дрезден. политехникума; Пер. с нем. Бориса Гущина. - Санкт-Петербург : И.И. Базлов, 1905. - [4], 170 с. : черт. ; 22 см
Рейтинг по отзывам:
4.5
Рубрики:
Другие ответственные лица:
Гущин, Борис → Переводчик
Дата создания:
2020-12-10 13:56:05
Соц. сети:
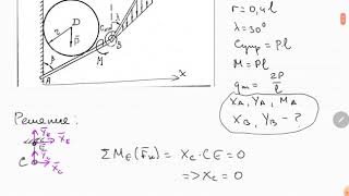
Определение реакций опор простой рамы
Рама опирается на неподвижный шарнир и горизонтальный опорный стержень. На раму действуют две силы и момент. Составляем три уравнения ...
Kirsanov2011
Помогите сайту стать лучше, ответьте на несколько вопросов про книгу:
Задачи по статике твердого тела (с решениями : A. Fuhrmann. Aufgaben aus analytischen Mechanik. Th. I. 3-e Aufl. von B. Teubner. Leipzig, 1904)
Там присутствует главный герой?
Да, он мужчина.
Да, это женщина.
Нет.
Не знаю.
Не знаю

Мойка листов, чистка, отбеливание, устранение заломов, восстановление разрывов, следов от влаги, травление насекомых, реставрация обложки и корешка, устранение укусов от собак и восстановление заломов на картоне, восстановление после падений, восстановление тиснения и рисунков, художественная покраска всех элементов обложки от мастеров Ленинской библиотеки. Мелкий ремонт (удаление пятен, плесени) или реставрацию обложки, уголков, корешка, листов, переплета книги

Показать контакты
Объявление о покупке (разыскивается книга)
Объявление о продаже
Принимаются только объявления о покупке книги.
Внимание, объявления модерируются администрацией.
Принимаются только объявление о продаже книги.
Внимание, объявления модерируются администрацией.
Термех. Статика. Расчётно-графическая работа по статике №2. Задание 1 и решение
http://eduVdom.com Репетитор http://wiki.eduVdom.com Справочник --- Термех. Статика. Расчётно-графическая работа по статике №2 Решение.
eduvdomCOM
Урок 77. Решение задач статики (часть 1)
Урок физики в Ришельевском лицее.
Павел ВИКТОР
Термех. Статика. Расчётно-графическая работа по статике №1. Задание 1 и решение
http://eduVdom.com Репетитор http://wiki.eduVdom.com Справочник --- Термех. Статика. Расчётно-графическая работа по статике №1 Решение.
eduvdomCOM
Название и адрес
Режим работы
Телефон
Московская губернская универсальная библиотека
Московская область, Пушкинский район, Пушкино
Тургенева, 24
Расположение на карте
санитарный день: последний чт месяца
Вт: 11:00-19:00
Ср: 11:00-19:00
Чт: 11:00-19:00
Пт: 11:00-18:00
Сб: 11:00-19:00
 +7 (496) 539-60-77 +7 (496) 539-60-66
Показать номер
Название и адрес
Режим работы
Телефон
Центральная детская библиотека, г. Чехов
Московская область, Чеховский район, Чехов
Чехова, 2
Расположение на карте
санитарный день: последняя пт месяца
Пн: 09:00-18:00
Вт: 09:00-18:00
Ср: 09:00-18:00
Чт: 09:00-18:00
Пт: 09:00-18:00
Сб: 09:30-17:00
 +7 (496) 722-30-50
Показать номер
Название и адрес
Режим работы
Телефон
Научная библиотека, МГУ им. М.В. Ломоносова
Москва, Москва, Раменки район
Ленинские Горы, 1 ст12
Расположение на карте
санитарный день: последний чт месяца
Пн: 11:00-17:00
Вт: 11:00-17:00
Ср: 11:00-17:00
Чт: 11:00-17:00
Пт: 11:00-17:00
 +7 (495) 939-27-70
Показать номер
Название и адрес
Режим работы
Телефон
Детская библиотека №2
Смоленская область, Смоленск городской округ, Смоленск, Заднепровский район
Седова, 22а
Расположение на карте
санитарный день: последний чт месяца
Пн: 10:00-18:00
Вт: 10:00-18:00
Ср: 10:00-18:00
Чт: 10:00-18:00
Пт: 10:00-18:00
Вс: 10:00-18:00
 +7 (4812) 42-70-14
Показать номер
Название и адрес
Режим работы
Телефон
Городская библиотека № 16, МУК Тульская библиотечная система
Тульская область, Тула городской округ, Тула, Центральный район, Менделеевский
Ленина, 18
Расположение на карте
Вт: 11:00-18:00
Ср: 11:00-18:00
Чт: 11:00-18:00
Пт: 11:00-18:00
Сб: 12:00-17:00
 +7 (4872) 33-00-70
Показать номер
Название и адрес
Режим работы
Телефон
Детская библиотека №1
Челябинская область, Челябинский городской округ, Челябинск, Металлургический район
Богдана Хмельницкого, 11
Расположение на карте
санитарный день: последний день месяца
Пн: 10:00-13:00 13:30-18:00
Вт: 10:00-13:00 13:30-18:00
Ср: 10:00-13:00 13:30-18:00
Чт: 10:00-13:00 13:30-18:00
Пт: 10:00-13:00 13:30-17:00
Вс: 10:00-13:00 13:30-17:00
 +7 (351) 735-47-59 +7 (351) 735-47-20
Показать номер
Название и адрес
Режим работы
Телефон
Централизованная библиотечная система Прокопьевского муниципального района, МБУ
Прокопьевский район, пос. Школьный
Советская, 7
Пн: 09:00-12:00 13:00-18:00
Вт: 09:00-12:00 13:00-18:00
Ср: 09:00-12:00 13:00-18:00
Чт: 09:00-12:00 13:00-18:00
Пт: 09:00-13:00
 +7 (3846) 64-15-62
Показать номер
Название и адрес
Режим работы
Телефон
Централизованная библиотечная система, МБУК, г. Прокопьевск
Кемеровская область, Прокопьевский городской округ, Прокопьевск, Ясная поляна
Кучина, 9
Расположение на карте
санитарный день: последний день месяца; зимний период: пн-сб 10:00-18:00
Пн: 10:00-18:00
Вт: 10:00-18:00
Ср: 10:00-18:00
Чт: 10:00-18:00
Пт: 10:00-18:00
 +7 (3846) 618-228
Показать номер
Название и адрес
Режим работы
Телефон
Октябрьская поселковая библиотека №38
Республика Татарстан, Зеленодольский район, пос. Октябрьский
Первомайская, 14а
Расположение на карте
санитарный день: последний день месяца
Пн: 12:00-18:00
Вт: 12:00-18:00
Ср: 12:00-18:00
Чт: 12:00-18:00
Пт: 12:00-18:00
Сб: 12:00-16:00
 +7 (84371) 6-55-27
Показать номер
Название и адрес
Режим работы
Телефон
Центральная районная библиотека, п.г.т. Атамановка
Забайкальский край, Читинский район, пгт Атамановка
Гагарина, 5
Расположение на карте
Пн: 09:00-18:00
Вт: 09:00-18:00
Ср: 09:00-18:00
Чт: 09:00-18:00
Пт: 09:00-18:00
Сб: 12:00-16:00
 +7 (3022) 99-32-55
Показать номер
Физика 10 класс (Урок№14 - Статика. Равновесие абсолютно твердых тел.)
Физика 10 класс Урок№14 - Статика. Равновесие абсолютно твердых тел. Узнаем: - при каком условии тела будут находиться состоянии равновесия; ...
LiameloN School ОДНОПРОЛЕТНАЯ БАЛКА. ОПРЕДЕЛЕНИЕ ОПОРНЫХ РЕАКЦИЙ. Сопромат
РЕШЕНИЕ ЗАДАЧИ ПО СТРОИТЕЛЬНОЙ МЕХАНИКЕ ТЩАТЕЛЬНОЕ РЕШЕНИЕ ОДНОПРОЛЕТНОЙ БАЛКИ. ОПРЕДЕЛЕНИЕ ОПОРНЫХ РЕАКЦИЙ.
СТРОИТЕЛЬНАЯ МЕХАНИКА Определение опорных реакций в простой балке. Урок №1
В данном уроке очень подробно излагается принцип определения опорных реакций в балке.Определение опорных реакций- является одной из ...
Александр Петров Произвольная пространственная система сил. Определение реакций связи плиты.
В видео рассмотрено решение задачи по определению реакций связей плиты, находящейся под действием произвольной пространственной системы ...
Roza Koilybayeva
Прикрепить файл
Похожие книги
Название и адрес
Режим работы
Телефон
Московская губернская универсальная библиотека
Московская область, Пушкинский район, Пушкино
Тургенева, 24
Расположение на карте
санитарный день: последний чт месяца
Вт: 11:00-19:00
Ср: 11:00-19:00
Чт: 11:00-19:00
Пт: 11:00-18:00
Сб: 11:00-19:00
 +7 (496) 539-60-77 +7 (496) 539-60-66
Показать номер
Название и адрес
Режим работы
Телефон
Центральная детская библиотека, г. Чехов
Московская область, Чеховский район, Чехов
Чехова, 2
Расположение на карте
санитарный день: последняя пт месяца
Пн: 09:00-18:00
Вт: 09:00-18:00
Ср: 09:00-18:00
Чт: 09:00-18:00
Пт: 09:00-18:00
Сб: 09:30-17:00
 +7 (496) 722-30-50
Показать номер
Название и адрес
Режим работы
Телефон
Научная библиотека, МГУ им. М.В. Ломоносова
Москва, Москва, Раменки район
Ленинские Горы, 1 ст12
Расположение на карте
санитарный день: последний чт месяца
Пн: 11:00-17:00
Вт: 11:00-17:00
Ср: 11:00-17:00
Чт: 11:00-17:00
Пт: 11:00-17:00
 +7 (495) 939-27-70
Показать номер
Название и адрес
Режим работы
Телефон
Детская библиотека №2
Смоленская область, Смоленск городской округ, Смоленск, Заднепровский район
Седова, 22а
Расположение на карте
санитарный день: последний чт месяца
Пн: 10:00-18:00
Вт: 10:00-18:00
Ср: 10:00-18:00
Чт: 10:00-18:00
Пт: 10:00-18:00
Вс: 10:00-18:00
 +7 (4812) 42-70-14
Показать номер
Название и адрес
Режим работы
Телефон
Городская библиотека № 16, МУК Тульская библиотечная система
Тульская область, Тула городской округ, Тула, Центральный район, Менделеевский
Ленина, 18
Расположение на карте
Вт: 11:00-18:00
Ср: 11:00-18:00
Чт: 11:00-18:00
Пт: 11:00-18:00
Сб: 12:00-17:00
 +7 (4872) 33-00-70
Показать номер
Название и адрес
Режим работы
Телефон
Детская библиотека №1
Челябинская область, Челябинский городской округ, Челябинск, Металлургический район
Богдана Хмельницкого, 11
Расположение на карте
санитарный день: последний день месяца
Пн: 10:00-13:00 13:30-18:00
Вт: 10:00-13:00 13:30-18:00
Ср: 10:00-13:00 13:30-18:00
Чт: 10:00-13:00 13:30-18:00
Пт: 10:00-13:00 13:30-17:00
Вс: 10:00-13:00 13:30-17:00
 +7 (351) 735-47-59 +7 (351) 735-47-20
Показать номер
Название и адрес
Режим работы
Телефон
Централизованная библиотечная система Прокопьевского муниципального района, МБУ
Прокопьевский район, пос. Школьный
Советская, 7
Пн: 09:00-12:00 13:00-18:00
Вт: 09:00-12:00 13:00-18:00
Ср: 09:00-12:00 13:00-18:00
Чт: 09:00-12:00 13:00-18:00
Пт: 09:00-13:00
 +7 (3846) 64-15-62
Показать номер
Название и адрес
Режим работы
Телефон
Централизованная библиотечная система, МБУК, г. Прокопьевск
Кемеровская область, Прокопьевский городской округ, Прокопьевск, Ясная поляна
Кучина, 9
Расположение на карте
санитарный день: последний день месяца; зимний период: пн-сб 10:00-18:00
Пн: 10:00-18:00
Вт: 10:00-18:00
Ср: 10:00-18:00
Чт: 10:00-18:00
Пт: 10:00-18:00
 +7 (3846) 618-228
Показать номер
Название и адрес
Режим работы
Телефон
Октябрьская поселковая библиотека №38
Республика Татарстан, Зеленодольский район, пос. Октябрьский
Первомайская, 14а
Расположение на карте
санитарный день: последний день месяца
Пн: 12:00-18:00
Вт: 12:00-18:00
Ср: 12:00-18:00
Чт: 12:00-18:00
Пт: 12:00-18:00
Сб: 12:00-16:00
 +7 (84371) 6-55-27
Показать номер
Название и адрес
Режим работы
Телефон
Центральная районная библиотека, п.г.т. Атамановка
Забайкальский край, Читинский район, пгт Атамановка
Гагарина, 5
Расположение на карте
Пн: 09:00-18:00
Вт: 09:00-18:00
Ср: 09:00-18:00
Чт: 09:00-18:00
Пт: 09:00-18:00
Сб: 12:00-16:00
 +7 (3022) 99-32-55
Показать номер
Прикрепить файл