Решение дифференциальных уравнений с помощью степенных рядов -2
Рассматривается применение разложения в обобщенный степенной ряд на примере решения линейного дифференциального уравнения второго ...
Дмитрий Лосев
Сходимость степенного ряда на концах интервала сходимости.
Сходимость степенного ряда на концах интервала сходимости.
Виктор Глазнев
Свойства степенных рядов.
Свойства степенных рядов.
Виктор Глазнев
3. Условия существования и единственности решения задачи Коши
Обсуждаются различные варианты достаточных условий существования и единственности решения задачи Коши для дифференциальных уравнений ...
Дмитрий Лосев
Приближённые методы решения дифференциальных уравнений
Курс в НОУ "ИНТУИТ" - https://www.intuit.ru/studies/courses/10971/1116/info.
НОУ ИНТУИТ
24.3. Обобщенный степенной ряд
Исследуются возможность и условия разложения решения дифференциального уравнения в обычный и обобщенный степенные ряды. На примере ...
Дмитрий Лосев
Применение степенных рядов к вычислениям
Лекция, посвященная применению степенных рядов в разнообразных вычислениях. 00:14 Разложение в ряд Тейлора с использованием известных ...
Andrey Kuprin
Лекция 8: Поиск решения методом неопределенных коэффициентов
Однородные системы. Неоднородные системы, в правой части которых квазимногочлен. Вещественная форма записи вещественного решения ...
НОУ ИНТУИТ
Приближенное вычисление интеграла с помощью ряда Тейлора
Из этого видео вы узнаете, как найти приближенное значение неберущегося интеграла от функции sin(x)/x на отрезке от 0 до пи. Для этого будет ...
Hmath
Решение дифференциальных уравнений с помощью степенных рядов
Курс в НОУ "ИНТУИТ" - https://www.intuit.ru/studies/courses/10971/1116/info.
НОУ ИНТУИТ
2 Эйлер, степенные ряды и бесконечные произведения
Доказываем равенство количества разложений натурального числа в сумму попарно различных слагаемых количеству его разложений в сумму ...
Vanechki: математика, биология и многое другое
Комплексный анализ. Лекция 11a. Ряд Лорана (окончание). Особые точки
Институт математики, механики и компьютерных наук им.И.И.Воровича Южного федерального университета (http://mmcs.sfedu.ru). Лекции по ...
Михаил Абрамян
Ряды Фурье
Описание.
Валерий Романович
Степенной ряд и радиус сходимости - от bezbotvy
Что такое степенной ряд? Как найти радиус сходимости такого ряда и чему равен интервал сходимости степенного ряда? Это основные вопросы ...
bezbotvy
В.В. Козлов. Неустойчивость, асимптотические траектории и размерность фазового пространства
Общеинститутский семинар «Математика и ее приложения» Математического института им. В.А. Стеклова Российской академии наук 15 февраля ...
Math-Net.Ru
24.2. Метод неопределенных коэффициентов
Показаны алгоритм и сложности реализации метода неопределенных коэффициентов при разложении в степенной ряд в окрестности обыкновенной ...
Дмитрий Лосев
Шапошникова Т. А. - Уравнения с частными производными - Задача Коши
0:00:10 1. Решение задачи Коши для ОДУ 0:10:34 2. Линейное урчп 2-го порядка 0:15:04 3. Определение гиперповерхности 0:28:56 4. Векторное поле ...
teach-in
Степенные ряды | сходимость | 2
Говорим о равномерной сходимости. JOIN VSP GROUP PARTNER PROGRAM: https://youpartnerwsp.com/ru/join?92473.
Павел Шестопалов
Лекция №6 по ТФКП. Ряд Лорана. Особые точки. Вычеты. Городецкий С.Е.
Физтех-Live
12.2 Примеры разложения функций в ряд Маклорена. Часть 2.
Часть 2. Продолжаем раскладывать функции по степеням х или в ряд Маклорена. Изучаем способы, как это сделать быстро и просто. Обязательно ...
N Eliseeva
Ряды Тейлора коротко
В лекции кратко изложены сведения о рядах Тейлора. Приведены приложения рядов Тейлора к приближённому вычислению определённых ...
Юрий Григорьев
73 Применение рядов в экономике
Выбери программу обучения в ведущем ВУЗЕ страны → https://goo.gl/j81A9T Пройдите тест и узнайте, какая профессия вам больше подходит ...
Университет СИНЕРГИЯ
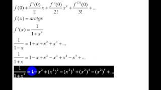
Формула Тейлора | ряд Маклорена | разложение arctg(x) в ряд Маклорена
В этом видео даётся несколько нестандартный метод разложения арктангенса в ряд Маклорена. JOIN VSP GROUP PARTNER PROGRAM: ...
Павел Шестопалов
Белошапка В. К. - Теория функции комплексного переменного I - Степенные ряды. Голоморфность
0:00:00 1. Интегральная формула Коши 0:19:27 2. Степенные ряды. Радиус сходимости 0:27:21 3. Почленное интегрирование степенных рядов 0:43:38 ...
teach-in
Преобразование Лапласа - 1.
Лекция в рамках курса СГМА.
ВМ СибГУТИ
Применение рядов к решению дифференциальных уравнений. Найти три первых отличных от нуля члена
Найти три первых, отличных от нуля члена разложения в степенной ряд решения y=y(x) дифференциального уравнения y'=f(x,y), удовлетворяющего ...
Физмат Класс
11.2. Разложение в ряд Маклорена элементарных функций (часть2)
Из этого видео вы узнаете, как раскладывать тригонометрические функции в степенной ряд на примере функции f(x)=sinx. И еще, как доказывать ...
N Eliseeva
Пример: Разложение функции в ряд Тейлора
Решаем в Mathcad Express задачу разложения функции f(x)=sin(x) в ряд Тейлора в точке x=x0.
kirianov
24a. Решение ДУ с помощью определенного интеграла
Еще одно видео посвящено альтернативному подходу теории дифференциальных уравнений, в котором решение ищется в виде интеграла с удобным ...
Дмитрий Лосев
Высшая математика СибГУТИ билет продолжение
СибГУТИ, высшая математика, экзамен, часть 2 (4-8 вопросы). Исследуйте ряд на абсолютную сходимость. Данную функцию разложить в ряд Тейлора ...
studzakazcom
Задача Коши. Решить используя ряды
Используя степенные ряды , приближённо решить задачу Коши. Ключевые слова: Студент, сессия, Коши, решить задачу.
pymathru
Что такое ряды Фурье и с чем их едят - bezbotvy
Ряд Фурье - это ряд из тригонометрических функций, в который можно разложить функцию f(x), определенную на некотором сегменте (-a;a).
bezbotvy
Интегрирование суммы равномерно сходящегося функционального ряда.
Интегрирование суммы равномерно сходящегося функционального ряда.
Виктор Глазнев
Моделирование систем. Лекция 3. Модели простых систем
1. Модели задач с начальными условиями. 2. Модели задач с граничными условиями. 3. Модели, описываемые дифференциальными уравнениями в ...
Образование для всех
Несобственный интеграл от ln((1+x)/(1-x)). 2 способа решения
Из этого видео вы узнаете, как найти несобственный интеграл от ln((1+x)/(1-x)) от 0 до 1 двумя различными способами: с помощью замены переменной ...
Hmath
Разложения ln(1+x) и arctg(x) в ряд Тейлора, нахождение суммы 2-х числовых рядов
В этом видео вы узнаете, как можно получить разложения с ряд Тейлора-Маклорена для функций ln(1+x) и arctg(x) при помощи суммы геометрической ...
Hmath
Дифференциальные уравнения | ряды Фурье Бесселя | 1
Дифференциальные уравнения | ряды Фурье Бесселя | 1 Уважаемые пользователи YouTube рад приветствовать вас на моём канале! Стараюсь ...
Павел Шестопалов
Определение ряда Фурье.
Определение ряда Фурье.
Виктор Глазнев
Суммирование функциональных рядов. Степенные ряды. №1
Это видео посвящено функциональным (степенным) рядам. Точнее нахождению суммы функционального ряда. Это пример №1 из темы суммирования ...
Матан Сдан
Приближенное вычисление интеграла с помощью ряда Тейлора. 2-ой пример.
Из этого видео вы узнаете, как найти приближенное значение неберущегося интеграла от функции e^(x^3) на отрезке от 0 до 1. Для этого будет ...
Hmath
Урок 1 - Интеграл через вычет, диффур через операционное исчиление, ряд Фурье
разобраны темы: 0:22 - вычисление комплексного интеграла по контуру с помощью вычетов 12:19 - решение дифференциального уравнения с ...
Александр Харюнин
Определенный интеграл tg(x)*ln(sin x) через разложение в ряд
Из этого видео вы узнаете, как найти определенный интеграл от тригонометрической функции с логарифмом tg(x)*ln(sin x) в пределах от 0 до пи/2.
Hmath