How to Study from a Differential Equations Textbook - Zill PDF
Scientists come up with solutions—not excuses!”—@authorjond P.S. It is a lot of work to create this content and I cannot continue ...
Author Jonathan David
Нефёдов Н. Н. - Дифференциальные уравнения - Системы с постоянными коэффициентами. Краевые задачи
0:00:00 1. Системы с постоянными коэффициентами 0:16:00 2. Структура ФСР в случае простых собственных значений ...
teach-in
Уравнения с частными производными 2 Задачи
Элина Арнольдовна Бибердорф
Уравнения в частных производных (02.10.2021)
HeliosGrounder
Уравнения в частных производных II | Занятие 4
Тема 1 "Метод разделения переменных для решения краевых задач": занятие 4 Страничка курса: https://baikov.ru/pde ...
Александр Байков
12. Решение двумерных задач методом разделения переменных
Приведены краевые задачи для дифференциальных уравнений с частными производными, предназначенные для ...
Дмитрий Лосев
Горицкий А. Ю. - Уравнения математической физики. Часть 2. Семинары - Семинар 1
Многомерный метод Фурье-1 0:00:19 1. Повторение метода Фурье 0:07:23 2. Задача на собственные значения оператора ...
teach-in
8 Дифференциальные уравнения в частных производных Mathcad
Stepan Gruntey
Краевая задача
Онлайн-курс по дисциплине «Численные методы и моделирование теплотехнических систем» размещен на сайте ...
ОмГТУ
2. Свойства частных решений линейных ДУсЧП
Обсуждаются различные свойства частных решений линейных уравнений с частными производными, позволяющие ...
Дмитрий Лосев
А.М. Филимонов. Корректность постановки краевых условий в смешанной задаче...
Международная конференция по дифференциальным уравнениям и динамическим системам 6 июля 2020 г. 15:10.
DIFF
Шапошникова Т. А. - Уравнения с частными производными. Часть 2 - Лекция 7
Свойства решения уравнения теплопроводности 0:00:00 1. Напоминание 0:03:56 2. Пример, интеграл Гаусса, 1 случай ...
teach-in
Уравнения с частными производными (вводный курс), Лекция 7, А.М.Филимонов
https://ium.mccme.ru/s23/s23-PDE.html.
Видеозаписи Независимого Московского Университета
А.Н. Куликов. Периодическая краевая задача для конвективного уравнения Кана-Хиллиарда...
Международная конференция по дифференциальным уравнениям и динамическим системам 7 июля 2020 г. 11:00.
DIFF
7.1 Краевые задачи для уравнений эллиптического типа. Вступление
Семинары по курсу "Уравнения математической физики" Преподаватель - к.ф.-м.н., доцент кафедры высшей математики ...
Кафедра высшей математики МФТИ
Краевая задача.Функция Грина.Дифференциальное ур.
На видео представлено составление функции Грина для дифференциального уравнения с Краевыми условиями.
pymathru
07.09.21 || Вторая краевая задача для дифференциально-разностного уравнения нейтрального типа (ч.1)
Докладчик: Скубачевский Александр Леонидович, Иванов Никита Олегович (РУДН, Москва). На семинаре с краткими ...
Математический институт им. С.М.Никольского
Уравнения в частных производных II | Занятие 1
Тема 1 "Метод разделения переменных для решения краевых задач" 00:00 О методе разделения переменных 01:40 ...
Александр Байков
Шапошникова Т. А. - Уравнения с частными производными. Часть 2 - Лекция 12
Существование решение первой начально-краевой задачи для уравнения теплопроводности 0:00:10 1. Замечание о ...
teach-in
Учебники по уравнениям в частных производных
Небольшой обзор учебников и задачников по уравнениям математической физики. Подборки учебников от "Ёжика в ...
Точки Лагранжа
Колыбасова В.В. - Методы математической физики. Семинары -4.Ур.Лапласа в прямоугольных координатах 2
Уравнение Лапласа в прямоугольных координатах 2 00:00:19 Задача в прямоугольнике (продолжение) 00:30:13 Краевая ...
teach-in
Уравнения математической физики 3курс 1год задача5
краевая задача для уравнения Пуассона в R^3.
Gregory Sadofyev
Контрольная работа Дифференциальные уравнения Задача1
Найти общее решение ЛНДУ второго порядка с переменными коэффициентами.
Gregory Sadofyev
Р.Т. Файзулин Метод разделения переменных
ОмГТУ
Колыбасова В.В. - Методы математической физики.Семинары - 19. Уравнение колебаний
Решение начальной краевой задачи для уравнения колебаний 00:00:19 Вступление 00:01:11 Начально-краевая задача ...
teach-in
Денисов А. М. - Уравнения математической физики. Лекции - Лекция 14
Существование и единственность решения первой краевой задачи для уравнения колебания. 0:00:19 1. Первая краевая ...
teach-in
Шапошникова Т. А. - Уравнения с частными производными. Часть 1. Семинары - Семинар 8
Метод Фурье. Часть 1 0:00:19 1. Постановка задачи 0:03:08 2. Задача Штурма-Лиувилля 0:25:32 3. Ряд Фурье 0:42:03 4.
teach-in
Лукьяненко Д. В. - Дифференциальные уравнения - Лекция 9
Функция Грина 0:00:19 1. Краевые задачи (повторение материала предыдущей лекции) 0:04:56 2. Функция Грина краевой ...
teach-in
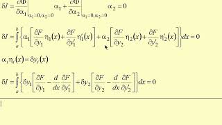
23. Обобщения вариационной задачи
Проводится обобщение вариационной задачи на случаи функционалов, содержащих производные высших порядков, ...
Дмитрий Лосев
partial differential equations (by M.k.jain) [including all methods] at p.g level.
ADVANCE Mathematics
7.5 Задача 4. Краевая задача для уравнения Пуассона
Семинары по курсу "Уравнения математической физики" Преподаватель - к.ф.-м.н., доцент кафедры высшей математики ...
Кафедра высшей математики МФТИ
31. Граничная задача
Интегрирование обыкновенных дифференциальных уравнений. Решение граничной задачи.
Яхье Мухтаров
Разгулин А. В. - Дифференциальные уравнения. Лекции. Часть 2 - Лекция 8
Функция Грина краевой задачи для дифференциального уравнения второго порядка 0:00:19 1. Постановка задачи 0:06:01 ...
teach-in
Сергеев И. Н. - Дифференциальные уравнения - Краевая задача для уравнения второго порядка
0:00:10 1. Доказательство эквивалентности уравнений 0:19:59 2. Теорема об изоморфности множества решений ...
teach-in
Найти экстремаль функционала
Изучаем математику
Денисов В.Н. - Лекция 2 - Дополнительные главы уравнений в частных производных
Денисов Василий Николаевич — доктор физико-математических наук, профессор кафедры общей математики ...
Ковчег знаний МГУ
Уравнения математической физики | Спецвыпуск
Разбор некоторых тем математической физики: Типы и виды уравнений. Краевые задачи ПДСК и уравнения Лапласа.
Студенческое научное общество НИЯУ МИФИ
Дифференциальные уравнения, 2Б, 14.05.2020, Мищенко Евгения Васильевна
ММФ НГУ
6.3 Задача 2. Смешанная краевая задача случай функции от одной пространственной переменной.
Семинары по курсу "Уравнения математической физики" Преподаватель - к.ф.-м.н., доцент кафедры высшей математики ...
Кафедра высшей математики МФТИ
Шапошникова Т. А. - Уравнения с частными производными. Часть 1. Семинары - Семинар 10
Метод Фурье. Часть 3 0:00:19 1. Уравнение Лапласа и метод Фурье 0:05:48 2. Задача (найти гармоническую функцию в ...
teach-in
22b. Другие подходы к решению линейных неоднородных уравнений
Рассмотрены 2 метода решения линейных неоднородных уравнений: метод функции Коши, позволяющий искать ...
Дмитрий Лосев
6.4 Задача 3. Смешанная краевая задача (случай функции от одной пространственной переменной).
Семинары по курсу "Уравнения математической физики" Преподаватель - к.ф.-м.н., доцент кафедры высшей математики ...
Кафедра высшей математики МФТИ