Учебное пособие по математике. Ч. 2
1782
Краткое содержание:
Экранизация книги

Учебное пособие по математике. Ч. 2

Год:
1979
Язык:
Русский
Страниц:
68
Описание:
Учебное пособие по математике Кривошея; Сергей Арсентьевич. Ч. 2:. - 1979. - 68 с. : ил
Рейтинг по отзывам:
4.5
Рубрики:
Дата создания:
2019-10-09 20:03:51
Соц. сети:
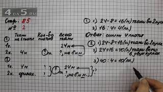
Страница 73 Задание 4 – Математика 2 класс Моро М.И. – Учебник Часть 2
Наша группа ВК: ГДЗ Математика Алгебра - https://vk.com/4da5ru Канал на YouTube: ГДЗ Математика 2 класс - https://www.youtube.com/channel/U...
ГДЗ Математика 2 класс
Помогите сайту стать лучше, ответьте на несколько вопросов про книгу:
Учебное пособие по математике. Ч. 2
Является ли она узкоспециализированной?
Да.
Нет.
Возможно.
Не знаю

Мойка листов, чистка, отбеливание, устранение заломов, восстановление разрывов, следов от влаги, травление насекомых, реставрация обложки и корешка, устранение укусов от собак и восстановление заломов на картоне, восстановление после падений, восстановление тиснения и рисунков, художественная покраска всех элементов обложки от мастеров Ленинской библиотеки. Мелкий ремонт (удаление пятен, плесени) или реставрацию обложки, уголков, корешка, листов, переплета книги

Показать контакты
Объявление о покупке (разыскивается книга)
Объявление о продаже
Принимаются только объявления о покупке книги.
Внимание, объявления модерируются администрацией.
Принимаются только объявление о продаже книги.
Внимание, объявления модерируются администрацией.
Страница 74 Задание 3 – Математика 2 класс Моро М.И. – Учебник Часть 2
Наша группа ВК: ГДЗ Математика Алгебра - https://vk.com/4da5ru Канал на YouTube: ГДЗ Математика 2 класс - https://www.youtube.com/channel/U...
ГДЗ Математика 2 класс
Страница 83 Задание 3 – Математика 2 класс Моро М.И. – Учебник Часть 2
Наша группа ВК: ГДЗ Математика Алгебра - https://vk.com/4da5ru Канал на YouTube: ГДЗ Математика 2 класс - https://www.youtube.com/channel/U...
ГДЗ Математика 2 класс
Страница 70 Задание 2 – Математика 3 класс Моро – Учебник Часть 2
Наша группа ВК: ГДЗ Математика Алгебра - https://vk.com/4da5ru Канал на YouTube: ГДЗ Математика 3 класс - https://www Страница...
ГДЗ Математика 3 класс
Название и адрес
Режим работы
Телефон
Централизованная система детских библиотек г. Шымкента, КГУ
Туркестанская область, Шымкент, Енбекшинский район, 15-й микрорайон м-н
15-й микрорайон, 5
Расположение на карте
санитарный день: последний день месяца
Пн: 09:00-13:00 15:00-19:00
Вт: 09:00-13:00 15:00-19:00
Ср: 09:00-13:00 15:00-19:00
Чт: 09:00-13:00 15:00-19:00
Пт: 09:00-13:00 15:00-19:00
 +7 (7252) 48-91-96
Показать номер
Название и адрес
Режим работы
Телефон
Раменская межпоселенческая библиотека, МУП
Московская область, Раменский район, Раменское, Красный Октябрь м-н
Десантная, 17
Расположение на карте
санитарный день: последний день месяца
Пн: 12:00-19:00
Вт: 12:00-19:00
Ср: 12:00-19:00
Чт: 12:00-19:00
Пт: 12:00-19:00
Сб: 12:00-19:00
 +7-929-653-74-88 +7-925-384-40-11
Показать номер
Название и адрес
Режим работы
Телефон
Ньургуhун, сельская библиотека
Республика Саха (Якутия), Якутск городской округ, с. Тулагино
Николаева, 34
Расположение на карте
санитарный день: последний день месяца
Пн: 11:00-13:00 14:00-18:00
Вт: 11:00-13:00 14:00-18:00
Ср: 11:00-13:00 14:00-18:00
Чт: 11:00-13:00 14:00-18:00
Пт: 11:00-13:00 14:00-18:00
Сб: 11:00-13:00 14:00-18:00
Название и адрес
Режим работы
Телефон
Деткая библиотека, п.г.т. Молочный
Мурманская область, Кольский район, пгт Молочный
Торговая, 1а
Расположение на карте
Пн: 11:00-18:00
Вт: 11:00-18:00
Ср: 11:00-18:00
Чт: 11:00-18:00
Пт: 11:00-18:00
Вс: 11:00-17:00
 +7 (81553) 9-18-32
Показать номер
Название и адрес
Режим работы
Телефон
Городская библиотека №25
Ивановская область, Иваново городской округ, Иваново, Фрунзенский район
Володарского, 11
Расположение на карте
санитарный день: 1, 16 числа месяца
Пн: 10:00-18:00
Вт: 10:00-18:00
Ср: 10:00-18:00
Чт: 10:00-18:00
Пт: 10:00-18:00
Сб: 10:00-18:00
 +7 (4932) 23-56-29
Показать номер
Название и адрес
Режим работы
Телефон
Городская библиотека №3, г. Дзержинск
Нижегородская область, Дзержинск городской округ, Дзержинск
Щорса, 3
Расположение на карте
санитарный день: последний вт месяца
Пн: 10:00-18:00
Вт: 10:00-18:00
Ср: 10:00-18:00
Чт: 10:00-18:00
Вс: 10:00-18:00
 +7 (8313) 36-49-03
Показать номер
Название и адрес
Режим работы
Телефон
Библиотека №19
Белгородская область, Белгород городской округ, Белгород, Западный округ
Горького, 74
Расположение на карте
санитарный день: последний день месяца
Пн: 09:00-19:00
Вт: 09:00-19:00
Ср: 09:00-19:00
Чт: 09:00-19:00
Сб: 10:00-18:00
Вс: 10:00-18:00
 +7 (4722) 55-34-43
Показать номер
Название и адрес
Режим работы
Телефон
Библиотека №11 им. А.С. Грибоедова
Пермский край, Пермь городской округ, Пермь, Дзержинский район, Заостровка
Маяковского, 8
Расположение на карте
санитарный день: последний день месяца; зимний период: пн-пт 11:00-19:00; сб 10:00-18:00
Пн: 11:00-19:00
Вт: 11:00-19:00
Ср: 11:00-19:00
Чт: 11:00-19:00
Пт: 11:00-19:00
 +7 (342) 207-50-54
Показать номер
Название и адрес
Режим работы
Телефон
Библиотека №6, Приморский район
Санкт-Петербург, Санкт-Петербург, Приморский район, МО "п. Лисий Нос"
Балтийский проспект, 36
Расположение на карте
санитарный день: последняя пт месяца
Вт: 11:00-19:00
Ср: 11:00-19:00
Чт: 11:00-19:00
Пт: 11:00-19:00
Сб: 11:00-18:00
 +7 (812) 434-90-53
Показать номер
Название и адрес
Режим работы
Телефон
Ставропольский краевой музей изобразительных искусств
Ставропольский край, Ставрополь городской округ, Ставрополь, Октябрьский район, 11-й микрорайон
Дзержинского, 115
Расположение на карте
Вт: 11:00-19:00
Ср: 11:00-19:00
Чт: 11:00-19:00
Пт: 11:00-19:00
Сб: 11:00-19:00
Вс: 11:00-19:00
Страница 73 Задание 3 – Математика 2 класс Моро М.И. – Учебник Часть 2
Наша группа ВК: ГДЗ Математика Алгебра - https://vk.com/4da5ru Канал на YouTube: ГДЗ Математика 2 класс - https://www.youtube.com/channel/U...
ГДЗ Математика 2 класс Страница 74 Задание 2 – Математика 2 класс Моро М.И. – Учебник Часть 2
Наша группа ВК: ГДЗ Математика Алгебра - https://vk.com/4da5ru Канал на YouTube: ГДЗ Математика 2 класс - https://www.youtube.com/channel/U...
ГДЗ Математика 2 класс Страница 74 Задание 1 – Математика 2 класс Моро М.И. – Учебник Часть 2
Наша группа ВК: ГДЗ Математика Алгебра - https://vk.com/4da5ru Канал на YouTube: ГДЗ Математика 2 класс - https://www.youtube.com/channel/U...
ГДЗ Математика 2 класс Страница 62 Задание 2 – Математика 2 класс Моро М.И. – Учебник Часть 2
Наша группа ВК: ГДЗ Математика Алгебра - https://vk.com/4da5ru Канал на YouTube: ГДЗ Математика 2 класс - https://www.youtube.com/channel/U...
ГДЗ Математика 2 класс
Егор Петров
Учебное пособие по математике. Ч. 2. В книге описывается метод решения задач. С приложениями, таблицами, картами.
Прикрепить файл
Похожие книги
Название и адрес
Режим работы
Телефон
Централизованная система детских библиотек г. Шымкента, КГУ
Туркестанская область, Шымкент, Енбекшинский район, 15-й микрорайон м-н
15-й микрорайон, 5
Расположение на карте
санитарный день: последний день месяца
Пн: 09:00-13:00 15:00-19:00
Вт: 09:00-13:00 15:00-19:00
Ср: 09:00-13:00 15:00-19:00
Чт: 09:00-13:00 15:00-19:00
Пт: 09:00-13:00 15:00-19:00
 +7 (7252) 48-91-96
Показать номер
Название и адрес
Режим работы
Телефон
Раменская межпоселенческая библиотека, МУП
Московская область, Раменский район, Раменское, Красный Октябрь м-н
Десантная, 17
Расположение на карте
санитарный день: последний день месяца
Пн: 12:00-19:00
Вт: 12:00-19:00
Ср: 12:00-19:00
Чт: 12:00-19:00
Пт: 12:00-19:00
Сб: 12:00-19:00
 +7-929-653-74-88 +7-925-384-40-11
Показать номер
Название и адрес
Режим работы
Телефон
Ньургуhун, сельская библиотека
Республика Саха (Якутия), Якутск городской округ, с. Тулагино
Николаева, 34
Расположение на карте
санитарный день: последний день месяца
Пн: 11:00-13:00 14:00-18:00
Вт: 11:00-13:00 14:00-18:00
Ср: 11:00-13:00 14:00-18:00
Чт: 11:00-13:00 14:00-18:00
Пт: 11:00-13:00 14:00-18:00
Сб: 11:00-13:00 14:00-18:00
Название и адрес
Режим работы
Телефон
Деткая библиотека, п.г.т. Молочный
Мурманская область, Кольский район, пгт Молочный
Торговая, 1а
Расположение на карте
Пн: 11:00-18:00
Вт: 11:00-18:00
Ср: 11:00-18:00
Чт: 11:00-18:00
Пт: 11:00-18:00
Вс: 11:00-17:00
 +7 (81553) 9-18-32
Показать номер
Название и адрес
Режим работы
Телефон
Городская библиотека №25
Ивановская область, Иваново городской округ, Иваново, Фрунзенский район
Володарского, 11
Расположение на карте
санитарный день: 1, 16 числа месяца
Пн: 10:00-18:00
Вт: 10:00-18:00
Ср: 10:00-18:00
Чт: 10:00-18:00
Пт: 10:00-18:00
Сб: 10:00-18:00
 +7 (4932) 23-56-29
Показать номер
Название и адрес
Режим работы
Телефон
Городская библиотека №3, г. Дзержинск
Нижегородская область, Дзержинск городской округ, Дзержинск
Щорса, 3
Расположение на карте
санитарный день: последний вт месяца
Пн: 10:00-18:00
Вт: 10:00-18:00
Ср: 10:00-18:00
Чт: 10:00-18:00
Вс: 10:00-18:00
 +7 (8313) 36-49-03
Показать номер
Название и адрес
Режим работы
Телефон
Библиотека №19
Белгородская область, Белгород городской округ, Белгород, Западный округ
Горького, 74
Расположение на карте
санитарный день: последний день месяца
Пн: 09:00-19:00
Вт: 09:00-19:00
Ср: 09:00-19:00
Чт: 09:00-19:00
Сб: 10:00-18:00
Вс: 10:00-18:00
 +7 (4722) 55-34-43
Показать номер
Название и адрес
Режим работы
Телефон
Библиотека №11 им. А.С. Грибоедова
Пермский край, Пермь городской округ, Пермь, Дзержинский район, Заостровка
Маяковского, 8
Расположение на карте
санитарный день: последний день месяца; зимний период: пн-пт 11:00-19:00; сб 10:00-18:00
Пн: 11:00-19:00
Вт: 11:00-19:00
Ср: 11:00-19:00
Чт: 11:00-19:00
Пт: 11:00-19:00
 +7 (342) 207-50-54
Показать номер
Название и адрес
Режим работы
Телефон
Библиотека №6, Приморский район
Санкт-Петербург, Санкт-Петербург, Приморский район, МО "п. Лисий Нос"
Балтийский проспект, 36
Расположение на карте
санитарный день: последняя пт месяца
Вт: 11:00-19:00
Ср: 11:00-19:00
Чт: 11:00-19:00
Пт: 11:00-19:00
Сб: 11:00-18:00
 +7 (812) 434-90-53
Показать номер
Название и адрес
Режим работы
Телефон
Ставропольский краевой музей изобразительных искусств
Ставропольский край, Ставрополь городской округ, Ставрополь, Октябрьский район, 11-й микрорайон
Дзержинского, 115
Расположение на карте
Вт: 11:00-19:00
Ср: 11:00-19:00
Чт: 11:00-19:00
Пт: 11:00-19:00
Сб: 11:00-19:00
Вс: 11:00-19:00
Азат Нагирян
Учебное пособие по математике. Ч. 2. В книге описывается , как выполнять вычисления с многозначными числами в Excel, используя функции математического анализа. Книга предназначена для студентов и преподавателей вузов, а также для учащихся колледжей, техникумов, готовящихся к сдаче Единого государственного экзамена (ЕГЭ).
Прикрепить файл