Математика. Вып. 3
1087
Краткое содержание:
Экранизация книги

Математика. Вып. 3

Год:
Б. г
Язык:
Русский
Описание:
Вып. 3. - Б. г. - (117-167) с., [1] с. "Для заметок" : черт
Рейтинг по отзывам:
4.5
Рубрики:
Дата создания:
2020-07-15 06:12:26
Соц. сети:
Перевернутая математика. Выпуск 3.
Как просуммировать ряд нечетных чисел? Длинные формулы - или кубики, которые может переставлять и трогать любой младшеклассник? Третий ...
Дети и Наука
Помогите сайту стать лучше, ответьте на несколько вопросов про книгу:
Математика. Вып. 3
Она написана малоизвестным автором?
Да.
Нет.
Возможно.
Не знаю

Мойка листов, чистка, отбеливание, устранение заломов, восстановление разрывов, следов от влаги, травление насекомых, реставрация обложки и корешка, устранение укусов от собак и восстановление заломов на картоне, восстановление после падений, восстановление тиснения и рисунков, художественная покраска всех элементов обложки от мастеров Ленинской библиотеки. Мелкий ремонт (удаление пятен, плесени) или реставрацию обложки, уголков, корешка, листов, переплета книги

Показать контакты
Объявление о покупке (разыскивается книга)
Объявление о продаже
Принимаются только объявления о покупке книги.
Внимание, объявления модерируются администрацией.
Принимаются только объявление о продаже книги.
Внимание, объявления модерируются администрацией.
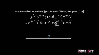
Математика. Выпуск 3. Преобразования логарифмических выражений.
Ведущий - Архангельский Александр Игоревич, кандидат педагогических наук, доцент кафедры общей и прикладной математики МГИУ. Математика.
LiveMSIU
ПРИМЕРЫ ПО МАТЕМАТИКЕ. - Выпуск 3. Решит только умный. Империя Тестов
Попробуйте решить эти простые математические примеры за отведенное время. При этом не пользуйтесь калькулятором. Интересно, пройдут ли этот ...
Империя Тестов
Крокодильская математика, выпуск 3. Подобные слагаемые
В сегодняшнем видео поговорим об ассасинах и как они помогли понять принцип приведения подобных слагаемых. Внимание! Ассасины - люди ...
Ольга Венцель
Название и адрес
Режим работы
Телефон
Библиотека №3
Брянская область, Брянск городской округ, Брянск, Фокинский район
Шолохова, 43
зимний период: пн-чт 11:00-19:00; сб-вс 10:00-18:00; пт выходной; санитарный день: последний день месяца
Пн: 10:00-18:00
Вт: 10:00-18:00
Ср: 10:00-18:00
Чт: 10:00-18:00
Пт: 10:00-18:00
Сб: 10:00-18:00
 +7 (4832) 63-80-06
Показать номер
Название и адрес
Режим работы
Телефон
Российская государственная библиотека искусств
Москва, Москва, Тверской район
Петровские Линии, 1
санитарный день: последняя пт месяца
Пн: 11:00-19:00
Вт: 11:00-19:00
Ср: 11:00-19:00
Чт: 11:00-21:00
Пт: 11:00-19:00
Сб: 11:00-19:00
 +7 (495) 692-09-84 +7 (495) 692-48-92
Показать номер
Название и адрес
Режим работы
Телефон
Библиотека, г. Котельники
Московская область, Котельники городской округ, Котельники
Ковровый микрорайон, 12
санитарный день: последний день месяца
Пн: 10:00-13:00 14:00-19:00
Вт: 10:00-13:00 14:00-19:00
Ср: 10:00-13:00 14:00-19:00
Чт: 10:00-13:00 14:00-19:00
Пт: 10:00-13:00 14:00-19:00
 +7 (495) 550-80-87 +7 (498) 642-06-36
Показать номер
Название и адрес
Режим работы
Телефон
Исакогорская библиотека №12
Архангельская область, Архангельск городской округ, Архангельск, Исакогорский округ, Бакарица
Зеньковича, 29
санитарный день: последний чт месяца
Пн: 11:00-18:00
Вт: 11:00-18:00
Ср: 11:00-18:00
Чт: 11:00-18:00
Пт: 11:00-18:00
Вс: 11:00-17:00
 +7 (8182) 45-09-55
Показать номер
Название и адрес
Режим работы
Телефон
Центральная городская библиотека
Свердловская область, Нижний Тагил городской округ, Нижний Тагил, Тагилстроевский район, Рудник им. III Интернационала
Кольцова, 23
санитарный день: последний чт месяца
Вт: 11:00-18:00
Ср: 11:00-18:00
Чт: 11:00-18:00
Пт: 11:00-18:00
Сб: 11:00-18:00
 +7 (3435) 25-88-65
Показать номер
Название и адрес
Режим работы
Телефон
Библиотека №27, МБУ Централизованная система массовых библиотек
Республика Башкортостан, Уфа городской округ, Уфа, Орджоникидзевский район, Черниковка
Кольцевая, 175/1
санитарный день: последняя пт месяца; зимний период: вт-сб 9:00-20:00
Вт: 11:00-20:00
Ср: 11:00-20:00
Чт: 11:00-20:00
Пт: 11:00-20:00
Сб: 11:00-20:00
 +7 (347) 216-48-67
Показать номер
Название и адрес
Режим работы
Телефон
Библиотека №2
Республика Башкортостан, Туймазинский район, Туймазы
Интернациональная, 30
санитарный день: последний рабочий день месяца
Пн: 10:00-19:00
Вт: 10:00-19:00
Ср: 10:00-19:00
Чт: 10:00-19:00
Пт: 10:00-19:00
 +7 (34782) 2-12-95
Показать номер
Название и адрес
Режим работы
Телефон
Библиотека №11 им. М.Ю. Лермонтова
Костромская область, Кострома городской округ, Кострома
Боевая, 63
санитарный день: последний чт месяца
Вт: 10:00-18:00
Ср: 10:00-18:00
Чт: 10:00-18:00
Пт: 10:00-18:00
Сб: 10:00-18:00
 +7 (4942) 55-49-42
Показать номер
Название и адрес
Режим работы
Телефон
Детская библиотека №2
Челябинская область, Магнитогорский городской округ, Магнитогорск, Ленинский район, 59-й микрорайон
Октябрьская, 19/1
июнь-август: пн-чт 9:30-17:30; пт 9:30-16:30; вс выходной; санитарный день: последний пн месяца
Пн: 09:30-17:30
Вт: 09:30-17:30
Ср: 09:30-17:30
Чт: 09:30-17:30
Пт: 09:30-16:30
Вс: 09:30-16:30
 +7 (3519) 26-86-60
Показать номер
Название и адрес
Режим работы
Телефон
Межпоселенческая централизованная библиотечная система Полесского городского округа, МБУК
Калининградская область, Полесский городской округ, Полесск
Калининградская, 38
санитарный день: 1 число месяца
Пн: 10:00-18:00
Вт: 10:00-18:00
Ср: 10:00-18:00
Чт: 10:00-18:00
Пт: 10:00-18:00
 +7 (40158) 3-00-20
Показать номер
Физика. Выпуск 3. Решение задачи уровня С на тему «Кинематика. Относительность скорости движения».
Ведущий - Музычка Андрей Юрьевич, кандидат физико-математических наук, доцент кафедры физики МГИУ. Физика. Выпуск 3. Решение задачи ...
LiveMSIU Крокодильская математика, выпуск 2. Свойства умножения
Оказывается, "выносить за скобку", используя распределительное свойство умножения, можно не только числа, но и крокодилов! И тогда пример для ...
Ольга Венцель Математика. Выпуск 7. Вычисление значений тригонометрических выражений.
Ведущий - Архангельский Александр Игоревич, кандидат педагогических наук, доцент кафедры общей и прикладной математики МГИУ. Математика.
LiveMSIU РЕШИ ПРИМЕРЫ за 20 сек. - Выпуск 1. Тест ПО МАТЕМАТИКЕ. Взрослым не пройти. Империя Тестов
Попробуйте решить эти простые математические примеры за отведенное время. При этом не пользуйтесь калькулятором. Интересно, пройдут ли этот ...
Империя Тестов
Егор Петров
Математика. Вып. 3. Аннотация: в сборнике представлены работы, посвященные исследуемой области математики, среди которых особо выделяются такие дисциплины, как теория графов, дифференциальное и интегр
Прикрепить файл
Похожие книги
Название и адрес
Режим работы
Телефон
Библиотека №3
Брянская область, Брянск городской округ, Брянск, Фокинский район
Шолохова, 43
зимний период: пн-чт 11:00-19:00; сб-вс 10:00-18:00; пт выходной; санитарный день: последний день месяца
Пн: 10:00-18:00
Вт: 10:00-18:00
Ср: 10:00-18:00
Чт: 10:00-18:00
Пт: 10:00-18:00
Сб: 10:00-18:00
 +7 (4832) 63-80-06
Показать номер
Название и адрес
Режим работы
Телефон
Российская государственная библиотека искусств
Москва, Москва, Тверской район
Петровские Линии, 1
санитарный день: последняя пт месяца
Пн: 11:00-19:00
Вт: 11:00-19:00
Ср: 11:00-19:00
Чт: 11:00-21:00
Пт: 11:00-19:00
Сб: 11:00-19:00
 +7 (495) 692-09-84 +7 (495) 692-48-92
Показать номер
Название и адрес
Режим работы
Телефон
Библиотека, г. Котельники
Московская область, Котельники городской округ, Котельники
Ковровый микрорайон, 12
санитарный день: последний день месяца
Пн: 10:00-13:00 14:00-19:00
Вт: 10:00-13:00 14:00-19:00
Ср: 10:00-13:00 14:00-19:00
Чт: 10:00-13:00 14:00-19:00
Пт: 10:00-13:00 14:00-19:00
 +7 (495) 550-80-87 +7 (498) 642-06-36
Показать номер
Название и адрес
Режим работы
Телефон
Исакогорская библиотека №12
Архангельская область, Архангельск городской округ, Архангельск, Исакогорский округ, Бакарица
Зеньковича, 29
санитарный день: последний чт месяца
Пн: 11:00-18:00
Вт: 11:00-18:00
Ср: 11:00-18:00
Чт: 11:00-18:00
Пт: 11:00-18:00
Вс: 11:00-17:00
 +7 (8182) 45-09-55
Показать номер
Название и адрес
Режим работы
Телефон
Центральная городская библиотека
Свердловская область, Нижний Тагил городской округ, Нижний Тагил, Тагилстроевский район, Рудник им. III Интернационала
Кольцова, 23
санитарный день: последний чт месяца
Вт: 11:00-18:00
Ср: 11:00-18:00
Чт: 11:00-18:00
Пт: 11:00-18:00
Сб: 11:00-18:00
 +7 (3435) 25-88-65
Показать номер
Название и адрес
Режим работы
Телефон
Библиотека №27, МБУ Централизованная система массовых библиотек
Республика Башкортостан, Уфа городской округ, Уфа, Орджоникидзевский район, Черниковка
Кольцевая, 175/1
санитарный день: последняя пт месяца; зимний период: вт-сб 9:00-20:00
Вт: 11:00-20:00
Ср: 11:00-20:00
Чт: 11:00-20:00
Пт: 11:00-20:00
Сб: 11:00-20:00
 +7 (347) 216-48-67
Показать номер
Название и адрес
Режим работы
Телефон
Библиотека №2
Республика Башкортостан, Туймазинский район, Туймазы
Интернациональная, 30
санитарный день: последний рабочий день месяца
Пн: 10:00-19:00
Вт: 10:00-19:00
Ср: 10:00-19:00
Чт: 10:00-19:00
Пт: 10:00-19:00
 +7 (34782) 2-12-95
Показать номер
Название и адрес
Режим работы
Телефон
Библиотека №11 им. М.Ю. Лермонтова
Костромская область, Кострома городской округ, Кострома
Боевая, 63
санитарный день: последний чт месяца
Вт: 10:00-18:00
Ср: 10:00-18:00
Чт: 10:00-18:00
Пт: 10:00-18:00
Сб: 10:00-18:00
 +7 (4942) 55-49-42
Показать номер
Название и адрес
Режим работы
Телефон
Детская библиотека №2
Челябинская область, Магнитогорский городской округ, Магнитогорск, Ленинский район, 59-й микрорайон
Октябрьская, 19/1
июнь-август: пн-чт 9:30-17:30; пт 9:30-16:30; вс выходной; санитарный день: последний пн месяца
Пн: 09:30-17:30
Вт: 09:30-17:30
Ср: 09:30-17:30
Чт: 09:30-17:30
Пт: 09:30-16:30
Вс: 09:30-16:30
 +7 (3519) 26-86-60
Показать номер
Название и адрес
Режим работы
Телефон
Межпоселенческая централизованная библиотечная система Полесского городского округа, МБУК
Калининградская область, Полесский городской округ, Полесск
Калининградская, 38
санитарный день: 1 число месяца
Пн: 10:00-18:00
Вт: 10:00-18:00
Ср: 10:00-18:00
Чт: 10:00-18:00
Пт: 10:00-18:00
 +7 (40158) 3-00-20
Показать номер
Азат Нагирян
Математика. Вып. 3. Аннотация:
Прикрепить файл